- Home
About Us
- Greece and Ukraine
News
Services
- Contact
Greece in Ukraine
Embassy News
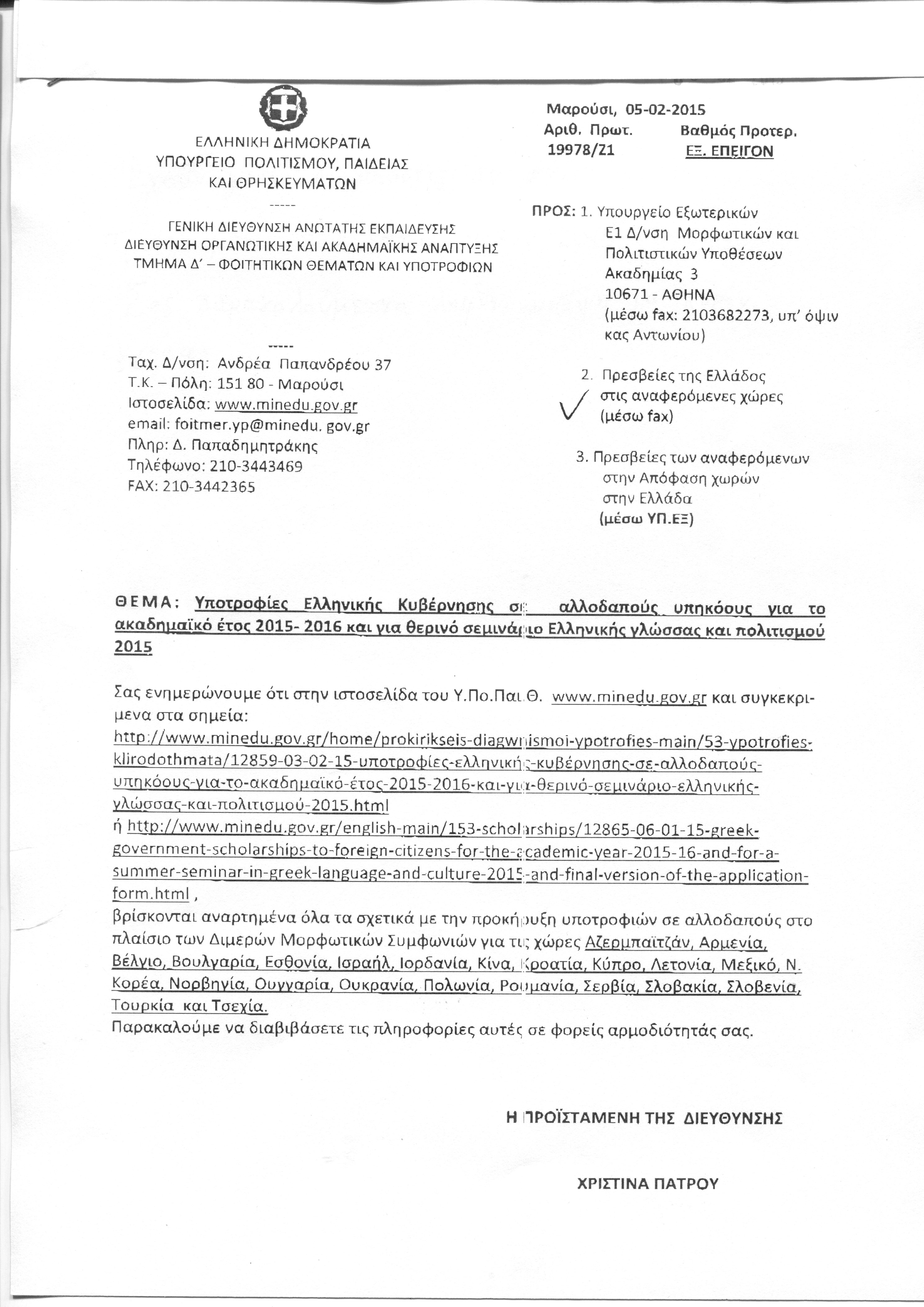
Стипендії Уряду Грецької Республіки для іноземців на 2015-2016 академічний рік і для участі у літньому семінарі з вивчення грецької мови та культури у 2015 році
Embassy News
Стипендії Уряду Грецької Республіки для іноземців на 2015-2016 академічний рік і для участі у літньому семінарі з вивчення грецької мови та культури у 2015 роціСтипендії Уряду Грецької Республіки для іноземців на 2015-2016 академічний рік і для участі у літньому семінарі з вивчення грецької мови та культури у 2015 році
Friday, 13 February 2015
Детальна інформація розміщена на веб-сторінці:
http://minedu.gov.gr/home/prokirikseis-diagwnismoi-ypotrofies-main/53-ypotrofies-klirodothmata/12859-03-02-15
Hellenic Government scholarships to foreign nationals for the academic year 2015-2016 and for the Greek language and civilization 2015 summer seminar
Також, будь ласка, ознайомтесь з документом, що додається.













