About Us
Embassy of Greece in Beijing
Embassy News
Scholarships for undergraduate and post-graduate studies at Greek Universities currently offered by the Greek Ministry of Foreign Affairs
Scholarships for undergraduate and post-graduate studies at Greek Universities currently offered by the Greek Ministry of Foreign Affairs
The Embassy of Greece in Beijing wishes to inform all interested applicants that a scheme of scholarships for undergraduate and post-graduate studies at Greek Universities is currently offered by the Greek Ministry of Foreign Affairs (E1 Directorate of Cultural and Educational Affairs) to Chinese citizens, for the academic year 2017-2018.
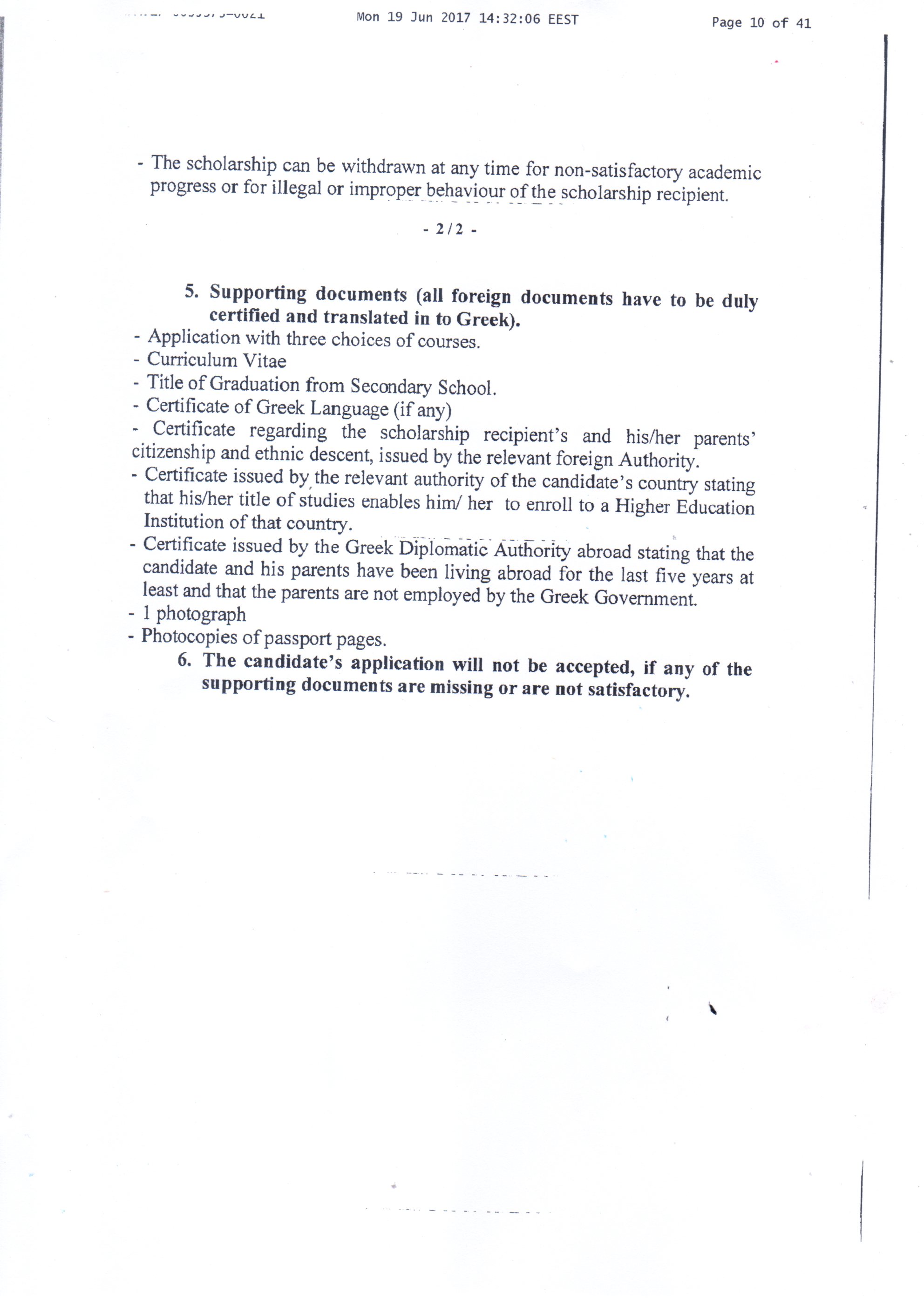
Attached please find:
- Application form (in English) for undergraduate studies in Greece (p.2)
- Terms and conditions (in English) for scholarships of undergraduate studies in Greek Universities and Institutes of Technology (p.2)
- Application form (in English) for post-graduate studies in Greece (p2)
- Terms and conditions (in English) for scholarships of post-graduate studies in Greek Higher Educational Institutions (p.2)
- A List of Greek Universities (in English) will be available upon request
The candidates should submit their applications to this Embassy by 25 July 2017 according to the attached forms, terms and conditions.
Applications for studies in the domains of Innovation, Trade and Law will be given preference.
Chinese citizens in a contractual relationship with the Greek State are not eligible for scholarships.
Scholarships are not granted for studies in Theology or the Fine Arts.
Applicants should be at least 18 years old by October 1st 2017.
Applicants for postgraduate scholarships should have already secured their acceptance to a Greek University before applying, and they should submit their admittance letter with their application.
Interested parties may contact the Press and Communication Office of the Embassy by email on
or telephone on 010-8532-6968, Press Counselor Euthymios Athanasiadis (cell: 0086 13910571099)












